近日,等离子体所EAST大科学工程团队孙有文研究员三维物理课题组针对ITER相关运行参数下的共振磁扰动(RMP)抑制边界局域模(ELM)的研究取得新突破。课题组与ITER科学部负责人Alberto Loarte合作,在ELM抑制与偏滤器热负荷集成控制方面取得了新的研究进展。相关成果近期发表于Nuclear Fusion和Physics of Plasmas等聚变领域权威期刊。
边界局域模及偏滤器热负荷的有效控制是当前磁约束聚变研究的重要课题,也是ITER亟待解决的关键科学问题之一。边界局域模爆发瞬间大量的热流和粒子流沉积在偏滤器靶板上,会导致靶板材料的严重腐蚀。通过外加RMP来抑制ELM的方法已经在美国DIII-D、我国EAST、韩国KSTAR以及德国ASDEX-Upgrade等装置上得到实验验证,也被ITER所采纳。但是在ITER高增益参数下,使用高环向模数n=4的RMP抑制ELM的可靠性还没有装置在实验中进行验证;此外,RMP引起托卡马克中三维磁拓扑改变,在维持ELM抑制的同时能否结合诸如脱靶和辐射偏滤器等手段进行靶板热负荷的集成控制,也缺少实验数据的支持。
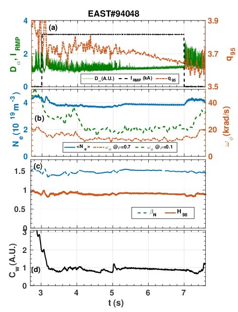
EAST装置具有类似ITER的低动量注入、低q95以及钨偏滤器的放电优势,共振磁扰动线圈系统能够形成n=1-4的共振磁扰动。基于多年相关实验的经验积累,孙有文研究员带领课题组在国际上率先为ITER演示了n=4的RMP能够有效抑制ELM,明确了实现抑制的密度区间和q95窗口,并结合磁流体模拟程序MARS-F揭示该窗口由三维磁拓扑边界随机化峰值决定。相关结果由孙有文发表于核聚变顶级期刊Nuclear Fusion 上 (Y. Sun et al 2021 Nucl. Fusion 61 106037)。
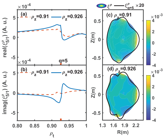
课题组深入研究了等离子体旋转对三维场的屏蔽效应,从等离子体响应角度加深了对ELM抑制的物理机理理解。利用MARS-F程序模拟发现在E×B旋转或电子垂直旋转零点在电阻奇异层内时,等离子体产生类剥离模响应;而当零点在奇异层外时,产生类扭曲模响应。EAST装置放电等离子体有理面上的旋转范围在±10krad/s内时有利于产生较强的等离子体响应。模拟结合实验验证了磁扰动在台基区顶部旋转接近零即可实现台基区顶部的扰动场渗透。相关结果由课题组博士生谢朋成发表于核聚变权威期刊Physics of Plasmas上(P. Xie et al 2021 Phys. Plasmas 28 092511)。
在上述ELM抑制的参数背景下,课题组与ITER科学部负责人Alberto Loarte合作,进一步开展了高再循环以及杂质注入等偏滤器热负荷集成控制实验。实验验证了在充气或弹丸注入形成的高再循环,以及在杂质注入形成的辐射偏滤器条件下,RMP能够维持ELM抑制并有效降低偏滤器靶板稳态热负荷,有望将来参与偏滤器热负荷的集成控制。此外结合等离子体响应模拟与三维磁拓扑模拟的结果表明n=4条件下连接偏滤器远端打击点分裂的磁力线的连接深度更浅,更有利于偏滤器靶板稳态热负荷的降低。相关结果由课题组贾曼妮发表于核聚变顶级期刊Nuclear Fusion 上 (M. Jia et al 2021 Nucl. Fusion 61 106023)。
以上研究工作得益于EAST大科学装置团队成员间的团结协作,也是等离子体所与国际同行长期广泛开展合作交流的成果,包括ITER组织、美国通用原子能公司和德国于利希研究中心等。研究结果增加了对ELM控制物理机理的理解,对于将来ITER高增益放电参数下应用高环向模数RMP进行ELM抑制以及偏滤器热负荷控制有重要的参考价值。研究受到国家重点研发计划、国家自然科学基金以及国家磁约束核聚变能发展研究专项等项目的资助。
论文链接:
1. https://iopscience.iop.org/article/10.1088/1741-4326/ac1a1d
2. https://aip.scitation.org/doi/10.1063/5.0062540
3. https://iopscience.iop.org/article/10.1088/1741-4326/ac21f9

图1:EAST上实现边界局域模被n=4共振磁扰动抑制的参数区间

图2:E×B旋转零点在奇异层内外对等离子体法向位移的影响

图3:ELM抑制期间高再循环对热负荷的有效降低以及与磁场连接深度模拟的对比
