科研进展

当前位置:首页 > 科学研究 > 科研进展

科研团队在OH启动1,3,5-三甲苯大气氧化反应研究方面取得新进展

作者:林晓晓发布时间:2021-12-28【打印】【关闭】
  近日,安光所张为俊研究员团队在OH自由基启动1,3,5-三甲苯大气氧化反应机理研究方面取得新进展,相关论文在线发表于环境类TOP期刊Atmospheric Environment
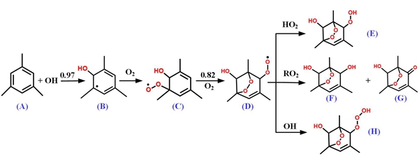
  1,3,5-三甲苯是大气中一种重要的芳香烃化合物,主要来自汽车尾气、溶剂使用和工业排放等,是重要的人为源二次有机气溶胶的前体物。大气中,1,3,5-三甲苯的氧化反应主要由OH自由基引发,其氧化过程中产生的O-O桥接的双环过氧自由基反应,对二次有机气溶胶的形成和生长起着重要作用。
  课题组唐小锋研究员和林晓晓助理研究员利用烟雾箱模拟低NOx条件下OH自由基启动的1,3,5-三甲苯氧化反应过程,结合实验室自行研制的真空紫外光电离气溶胶质谱,在线检测获得了氧化反应生成的颗粒相化学成分,并通过氘代1,3,5-三甲苯氧化实验,进一步确认了颗粒相中直接观测的高质量O-O桥接的双环化合物,采用量子化学理论阐明了双环氧化产物的形成机理。
  研究结果表明,O-O桥接的双环过氧自由基是1,3,5-TMB氧化过程中的关键中间体,可以进行多种化学反应,包括其过氧自由基的自反应、与HO2和OH自由基的双分子反应等,这些反应生成的产物往往具有高质量和低挥发性的特点,容易进入颗粒相中并成为新粒子形成的重要组成部分。本研究通过对双环过氧自由基的反应路径进行理论计算,获得它们的反应机理,直接证明了双环过氧自由基化学在新粒子和二次有机气溶胶形成中的重要作用。
  本文研究工作得到了国家自然科学基金、中科院国际合作重点项目和合肥大科学中心重点研发项目课题的经费支持。
  文章链接:https://doi.org/10.1016/j.atmosenv.2021.118914
  
  OH启动1,3,5-三甲苯反应生成O-O桥接双环氧化产物机理图
  
  OH启动1,3,5-三甲苯和氘代1,3,5-三甲苯氧化反应颗粒物的光电离质谱图

附件下载