新型非传统超导体Ba2CuO4-δ的磁性及超导配对对称性研究取得进展
近期, 中科院合肥研究院固体所计算物理与量子材料研究部邹良剑研究员课题组通过理论计算研究了电子关联、磁关联及掺杂对非传统超导体Ba2CuO4-δ基态性质的影响和其中自旋涨落诱导的超导配对对称性。相关结果发表在Physical Review B上,固体所博士生白晓成和全亚民副研究员为论文共同第一作者,邹良剑研究员为通讯作者。
目前,已发现的铜基非常规超导体系中对超导有贡献的均为费米面附近的dx2-y2单个能带。Ba2CuO3.2是非常独特的超导体,其结构类似于铜基化合物La2CuO4。但Ba2CuO3.2八面体配位独特的晶体结构使得多条能带对超导有贡献,这与已有铜氧化合物的电子结构截然不同。Ba2CuO3.2中空穴载流子高度掺杂, 其超导转变温度是73K,比掺杂的La2CuO4体系的转变温度高出近一倍,研究人员对此产生了极大的兴趣。
超导体中两个电子通过有效的吸引力形成了一种特殊而稳定的电子对-库珀对,而自旋涨落很可能是提供高温非传统超导体中电子配对的有效吸引力。如果库珀对之间实现步调一致的相位相干就会形成超导态,因此超导体中库珀对的配对对称性是研究配对机制的一种重要指纹特征。目前,关于超导体Ba2CuO4-δ中的母体相及超导配对机制尚不清楚。对Ba2CuO4-δ体系中关联效应的研究有助于探索形成高温超导的机理,发现更高超导转变温度的材料,进而更广泛、低成本地应用于医疗、电力输运、科学研究等领域。
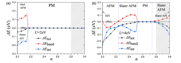
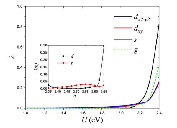
鉴于此,研究人员基于两轨道(d3z2-r2,dx2-y2)哈伯德模型,用旋转不变的隶玻色子方法(RISB)研究了电子关联、磁关联及掺杂对非传统超导体Ba2CuO4-δ基态性质的影响。结果表明,如果体系处于中等关联时, 超导体的母体相为反铁磁的Ba2CuO3.5,体系从顺磁双带过渡到反铁磁单带体系;若体系处于强关联时,会有两个不同的反铁磁母体相Ba2CuO3.5和Ba2CuO3(图1),是单带超导体。结合磁能实验, 研究人员预测Ba2CuO4-δ的电子关联在2~3 eV之间。基于自旋涨落诱导的电子配对理论, 研究人员分析了Ba2CuO3.2 中配对对称性随关联及掺杂的变化,发现Ba2CuO3.2中s-波和d-波配对强度几乎简并,其中电子可能是s + d-波配对(图2)。该研究首次发现了新型非传统超导体Ba2CuO3.2存在能带跨越和可能的超导配对对称性,对探索更高转变温度的超导体具有启发意义。
上述研究得到了国家自然科学基金面上项目、重点项目和联合项目的资助。

图1. Ba2CuO4-δ体系随参杂变化的磁相图:(a)U = 2 eV,(b) U = 4 eV。
图2. 配对强度随关联U的变化,插图为U = 2 eV时, 配对强度随掺杂的变化。