稳态强磁场实验装置(SHMFF)用户天津大学尹燕研究团队在SHMFF所属SM1超导磁体支持下,成功研发出一种新型取向二茂铁盐阴离子交换膜,该阴离子交换膜具有在膜的透过面(TP)方向取向排列的离子传输通道,极大地提高了阴离子交换膜燃料电池的功率输出;同时,这种阴离子交换膜具有优异的热稳定性、碱稳定性和氧化还原稳定性,可以在苛刻的电池运行条件下长期使用。该研究成果发表在期刊《自然·能源》(Nature Energy)上。
阴离子交换膜燃料电池(AEMFC)有望使用非贵金属催化剂以及在碱性条件下更强的氧化还原活性,从而取代昂贵的质子交换膜燃料电池(PEMFC)。阴离子交换膜(AEM)作为阴离子交换膜燃料电池的核心元件,其设计对于电池功率输出和性能稳定性至关重要。
在阴离子交换膜燃料电池(AEMFC)的工作过程中,氢氧根离子穿过阴离子交换膜从阴极到阳极参与反应,因此电池性能受阴离子交换膜在透过面方向电导率的影响较大,而与膜的平行面(IP)方向电导率的关系较小。大多数AEM表现出各向同性的阴离子电导率,采用相分离等常用策略往往无法有效地定向增强阴离子导电性。
针对此问题,该团队使用强磁场在顺磁性二茂铁盐AEM中构建了TP取向的传输通道。这一策略沿用了他们此前在质子交换膜领域取得的进展(Nature Communications, 2019 10, 842; Energy & Environmental Science, 2020 13, 297-309),将同时具有磁响应能力与离子传导能力的材料拓展到了AEM领域。 顺磁性聚合物在强磁场下通过溶液浇铸形成TP取向的高导电性PF-OH和LPF-OH AEM(磁铸膜,MM),分别为MM-PF-OH和MM-LPF-OH。无磁场条件下制备的对照膜(非磁铸膜,NM)分别为NM-PF-OH和NM-LPF-OH。图1为透射电子显微镜(TEM)观察到的磁铸膜(MM)和非磁铸膜(NM)之间显著的形貌差异,表明磁场能有效诱导生成TP取向的氢氧根离子传输通道。
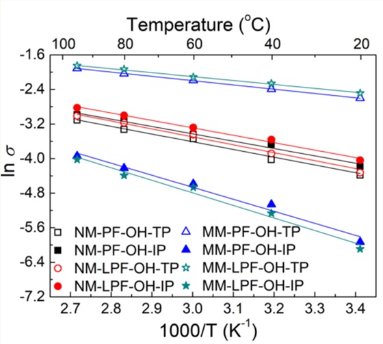
具有TP取向传输通道的磁铸膜MM在TP方向的离子电导率(σ)显著高于IP方向(图2),在不同温度时,σTP/σIP比值在8.9~36.8之间。 MM-LPF-OH的σTP/σIP比值高于MM-PF-OH,因为其取向程度更高(与TEM的观测结果一致)。此外,MM的TP方向氢氧根离子电导率比NM在不同温度下高3.1~6.3倍,表明MM中的氢氧根离子在TP方向传导更快,这有助于提高AEMFC的功率输出。
除了高电导率外,碱稳定性对AEM也至关重要。大多数AEM使用季铵盐作为阴离子导电基团,通常碱稳定性较差(尤其在高温下)。目前对AEMFC的研究大多采用60~80℃的运行温度,与实际理想应用温度具有一定差距。 一些有国际影响力的AEMFC研究团队都认为将AEMFC工作温度提高到至少80℃或更高对AEMFC的发展至关重要,这就需要更耐高温的AEMFC材料。本工作中基于二茂铁盐的AEM恰好可以满足该要求。一方面,茂金属盐自身具有高的耐温性,另一方面,强磁场诱导的混合价态进一步提高了碱稳定性。因此,强磁场在本研究中具有提高电导率和稳定性的双重功能。
论文链接: https://www.nature.com/articles/s41560-022-00978-y
图1:磁铸膜(MM)和非磁铸膜(NM)微观结构的TEM影像和示意图解
图2:磁铸膜(MM)和非磁铸膜(NM)在水中的TP和IP方向OH-电导率
