近期,中国科学院合肥物质院固体所功能材料物理与器件研究部尹利华副研究员等采用新调控思路实现了大电卡效应,提出一种调控材料电卡效应的新策略,通过设计阳离子尺寸无序、构型熵无序等提高材料的晶格无序度,进而改善并获得大的电卡效应。相关工作相继发表于Journal of Alloys and Compounds,Ceramics International和Applied Physics Letters等期刊上。
近年来,全球制冷行业的用电需求迅速增长,我国制冷用电量已占到全社会用电量的15%以上。而目前制冷行业中最广泛应用的仍然是气体压缩制冷技术,其普遍使用了具有严重温室效应的氢氟碳化物气体制冷剂。实施绿色高效制冷才是实现节能减排、低碳环保的有效途径之一。电卡制冷技术因其理论能效高、器件集成度高、噪音低、无有害气体排放,且易于小型化/轻量化,成为新型重要的前瞻制冷技术之一。电卡制冷技术是利用固态电介质中电偶极子在外电场下有序-无序的可逆转变实现制冷循环。但如何提升电介质材料在外加电场下的电致熵变和绝热温变仍然是电卡应用领域亟需攻克的难题之一。
目前针对电卡制冷微观机理仍缺乏深入研究,且实验上对材料电卡效应的调控效果有限,调控手段仅限于多相共存、有机无机复合及弛豫铁电等。基于此,尹利华副研究员近年来一直致力于电卡效应的微观机理及其调控策略研究,以期获得性能优异的电卡制冷材料。研究人员通过引入晶格无序等新策略,深入并系统地研究了阳离子尺寸无序以及构型熵无序对BaTiO3基电卡材料的晶体结构及铁电、介电及电卡效应等物性的影响,揭示了阳离子尺寸无序以及构型熵无序对材料电卡效应的调控规律和微观调控机理,部分结果如图1所示。
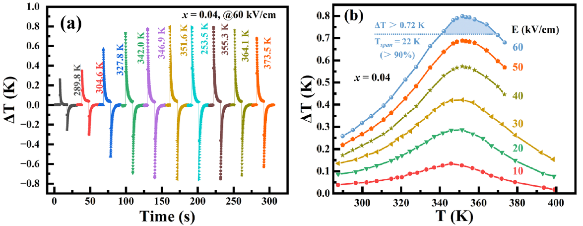
在此基础之上,研究人员进一步利用离子尺寸无序与构型熵无序之间的竞争调控材料的晶格畸变,在BaTiO3体系中实现了最佳的电卡性能,利用直接法测得其在ΔE=60 kV/cm电压下最大绝热温变ΔT达到了~0.80 K,并且在~22 K的较大温度范围内仍可保持最佳性能的90%,如图2所示。相关研究结果发表于国际SCI期刊Applied Physics Letters上,固体所博士生谢磊为该论文第一作者,尹利华副研究员为论文通讯作者。
以上研究工作得到国家自然科学基金的资助。
文章链接:https://doi.org/10.1063/5.0227301
文章链接:https://doi.org/10.1016/j.ceramint.2024.03.079
文章链接:https://doi.org/10.1016/j.jallcom.2022.165433

图1. BaxSryCaz(Bi0.5Li0.5)1-x-yO3系列陶瓷中构型无序熵及电卡绝热温变随组分的变化。

图2. BaTi1-x-ySnxZryO3陶瓷在x=0.04时的绝热温变随温度和外加电场的变化。
