近日,稳态强磁场实验装置(SHMFF)用户清华大学张定、南方科技大学薛其坤研究团队及合作者,借助SHMFF所属水冷磁体WM5,通过电场调控技术,成功实现了锂插层铁硒样品中超导态与铁磁态在创纪录高温条件下的稳定共存。相关研究成果在线发表于《自然·通讯》(Nature Communications)。
高温超导电性与铁磁性作为两种相互竞争的物理现象,其在同一材料体系中的共存被认为是实现新型量子功能器件的关键。张定和薛其坤研究团队首先通过栅极调控对铁硒(FeSe)薄膜进行了锂离子注入,发现该体系不仅具有超导温度为45 K的高温超导电性,而且具有显著的巡游铁磁性,其居里温度超过225 K。通过电场控制,团队还可以在同一材料中实现无磁低温超导态和高温超导铁磁态的来回切换。这一新型超导铁磁材料的磁电阻和霍尔电阻在库珀对凝聚过程中均展现出丰富的演化行为。
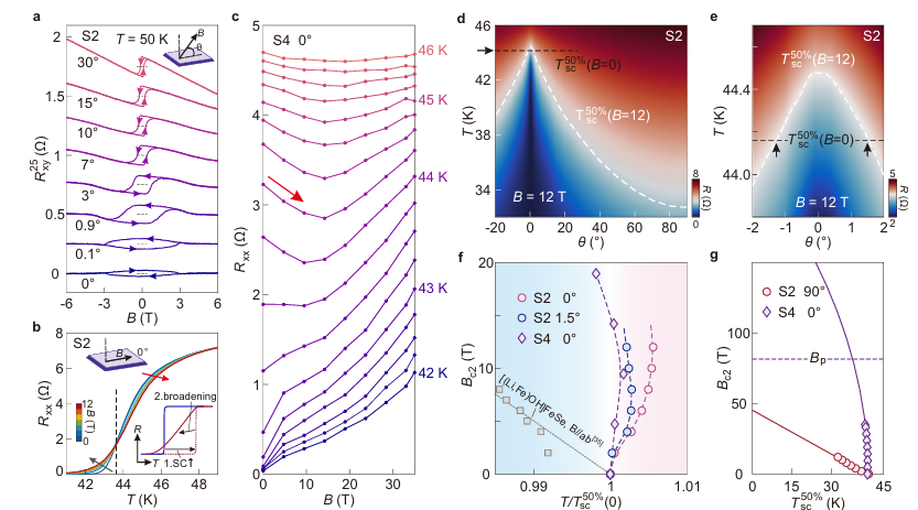
实验中,研究团队不仅开展了磁场条件下的电输运测量,还利用扫描超导量子干涉装置对样品进行了高分辨率成像。结果表明,在超导转变温度以下,超导态与铁磁态在空间上实现了稳定共存。此外,研究发现施加面内磁场能够增强体系的超导性。为了进一步探究超导态在极强磁场下的行为,验证超导与铁磁性的强相互作用机制,并揭示非常规超导配对的可能性,研究团队在SHMFF水冷磁体WM5中进行了测量(最高测量至35 T)。在极强磁场条件下,体系恢复至传统的响应行为。这种非单调的响应暗示可能存在自旋极化的库珀对,反映出铁磁性与超导性的强耦合。值得注意的是,这种行为仅发生在±1.5°范围内,这对实验中的角度控制精度提出了极高要求。研究团队在高场测量中使用的样品杆配备了高精度角度调节装置,能够满足对这一关键角度范围的精准控制需求。
此外,密度泛函理论计算进一步指出,当锂掺杂浓度达到约50%时,体系呈现铁磁态,为实验观测提供了有力的理论支持。
此项研究不仅对铁基超导体的配对机制具有重要意义,也为高温超导电子学与高温铁磁自旋电子学的融合开辟了新途径,进而推动低功耗器件的发展。
清华大学博士生胡祎、复旦大学博士生梁可一和南京大学博士生李婕为文章的共同第一作者,通讯作者为清华大学张定副教授、南方科技大学薛其坤教授、南京大学卢毅教授、复旦大学王熠华研究员。文章的合作者还包括中国人民大学雷和畅教授和博士生孟凡玉,复旦大学博士生李智杰、张若舟,清华大学博士生王霁远、温汇桢,中国科学院合肥物质院强磁场中心张警蕾研究员和硕士生蔡佳强。
论文链接:https://doi.org/10.1038/s41467-025-62624-x

图1. 电场调控下铁硒样品在非磁性超导态与高温超导铁磁态间的可逆转换

图2. 在面内磁场下增强的超导性与高场下输运测量结果
