重器巨帙, 融合开放。
董铺湖畔, 蜀山之侧, 以科学为名, 立创新高地。
博学之,审问之, 慎思之,明辨之, 笃行之。
与强者为伍, 与智者同行。 科学岛欢迎您!
海纳百川, 有容乃大。
组织是“形”,思想是“魂”。
传播科学知识, 弘扬科学精神。
及时公开, 准确公开, 合规公开。
近期,中科院合肥研究院固体所计算物理与量子材料研究部研究人员与南方科技大学、北京大学、广东大湾区空天信息研究院等团队合作,研究了单层MoS2-ReSe2异质结的超快动力学,确认了跨越亚皮秒至数百皮秒不同时间尺度内电荷转移、自由...
近期,中科院合肥研究院固体所能源材料与器件研究部蒋长龙研究员团队在人体健康预警可视化分析检测方面取得新进展,设计制备了两种高效的有机比率荧光纳米探针,并结合智能手机的颜色识别器,实现对呼出气体中生物标志物的检测。...
10月22日,中国空间站核心舱无容器材料科学实验柜在轨科学实验样品交接仪式在北京举行。首批无容器实验样品的交付,标志着中科院合肥研究院智能所先进制造中心参与研制的样品盒与废样盒取得初步成功。据悉,无容器实验柜中的核心装置...
近日,中科院合肥研究院健康所刘青松药学团队研发出一种针对B细胞淋巴瘤的高活性、高选择性EZH2抑制剂IHMT-EZH2-115。该研究成果在线发表于药物化学国际知名期刊Journal of Medicinal Chemistry。弥漫性大B细胞淋巴瘤(DLBCL)是成人...
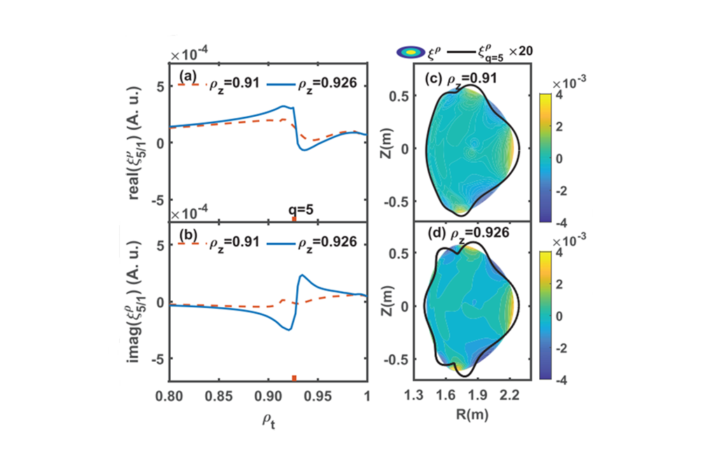
近日,等离子体所EAST大科学工程团队孙有文研究员三维物理课题组针对ITER相关运行参数下的共振磁扰动(RMP)抑制边界局域模(ELM)的研究取得新突破。课题组与ITER科学部负责人Alberto Loarte合作,在ELM抑制与偏滤器热负荷集成控制方...