重器巨帙, 融合开放。
董铺湖畔, 蜀山之侧, 以科学为名, 立创新高地。
博学之,审问之, 慎思之,明辨之, 笃行之。
与强者为伍, 与智者同行。 科学岛欢迎您!
海纳百川, 有容乃大。
组织是“形”,思想是“魂”。
传播科学知识, 弘扬科学精神。
及时公开, 准确公开, 合规公开。
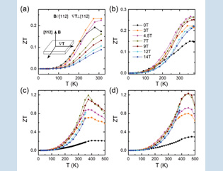
近期,中国科学院合肥物质科学研究院固体物理研究所秦晓英研究员课题组在研究黝铜矿Cu12Sb4S13热电性能时发现,当S位Se替代和Cu位Zn替代时,Cu3SbS4杂质相含量发生显著变化,从而引起主相化学计量比的变化,导致S空位及空穴浓度的变化...
近日,安光所张为俊课题组在大气甲醛探测方面取得新进展,相关成果以《基于新型球面镜光学多通池的pptv量级大气甲醛测量仪》为题发表于美国光学学会(OSA)学术期刊Applied Optics。甲醛(HCHO)是大气挥发性有机化合物(VOCs)氧化降...
近日,等离子体所王晓洁研究员率领的毫米波与太赫兹技术研究团队经过两年多的努力,成功研制国内首套兆瓦级高功率毫米波稳态实验系统,并于近日在140GHz回旋管验收实验中成功获得稳定、可重复的高参数实验结果,输出毫米波功率700千瓦...
近期,安光所时东锋等科研人员提出了稀疏傅里叶单像素成像方法,该方法在降低采样数量的同时,能够维持图像质量不发生大的退化。该研究成果发表在最新一期Optics Express上。傅里叶单像素成像利用傅里叶变换性质,采用具有傅里叶分布...
氢及燃料再循环是托卡马克高功率长脉冲等离子体运行的重要科学问题之一。近日,等离子体所真空及壁处理课题组余耀伟副研究员相关研究成果在核聚变顶级期刊Nuclear Fusion杂志发表。该工作在EAST多轮物理实验数据的积累上,对比分析了...