重器巨帙, 融合开放。
董铺湖畔, 蜀山之侧, 以科学为名, 立创新高地。
博学之,审问之, 慎思之,明辨之, 笃行之。
与强者为伍, 与智者同行。 科学岛欢迎您!
海纳百川, 有容乃大。
组织是“形”,思想是“魂”。
传播科学知识, 弘扬科学精神。
及时公开, 准确公开, 合规公开。
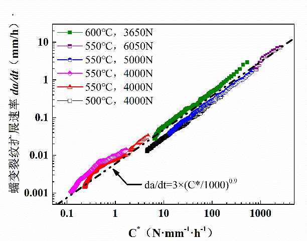
近日,核能安全所在中国抗中子辐照钢(CLAM钢)蠕变裂纹扩展性能研究方面取得重要进展,完成了500~600℃条件下CLAM钢蠕变裂纹扩展行为研究,建立了不同温度和应力条件下蠕变裂纹扩展速率的本构关系,验证了其在国际热核实验堆(I...
近日,等离子体所托卡马克物理研究室胡建生研究员课题组在均匀流动液态锂限制器研究方面取得新进展,相关研究成果由左桂忠副研究员以 “Results from an improved flowing liquid lithium limiter with increased flow uniformity in ...
近日,等离子体所托卡马克物理研究室胡建生研究员课题组在液态金属锂对无氧铜的腐蚀行为和机理研究方面取得进展,相关研究成果由孟献才博士后以“Corrosion characteristics of copper in static liquid lithium under high vacuum”...
近期,应用所先进材料中心田兴友研究员和张献副研究员团队在同步实现导热绝缘及电磁屏蔽性能的先进电子封装材料制备方面取得了新的研究进展,相关成果发表在Composites Part A 117 (2019) 56–64复合材料领域的TOP期刊上。近年来,随...
近日,安光所张为俊研究员课题组在大气黑碳气溶胶光化学老化的光吸收增强研究方面取得新进展,相关研究成果以The influence of photochemical aging on light absorption of atmospheric black carbon and aerosol single-scatter...