重器巨帙, 融合开放。
董铺湖畔, 蜀山之侧, 以科学为名, 立创新高地。
博学之,审问之, 慎思之,明辨之, 笃行之。
与强者为伍, 与智者同行。 科学岛欢迎您!
海纳百川, 有容乃大。
组织是“形”,思想是“魂”。
传播科学知识, 弘扬科学精神。
及时公开, 准确公开, 合规公开。
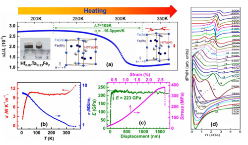
近期,固体所功能材料研究室童鹏研究员课题组在金属负热膨胀(Negative thermal expansion, NTE)材料研究方面取得了新进展。研究人员通过调控Laves相合金Hf1-xTaxFe2的化学组成,获得了兼具优异热学、力学性能和室温下宽温区、大NTE...
基于SO4·-和·OH自由基的高级氧化技术,具有氧化能力强、水质适用范围广、矿化程度高等优势,已成为水污染治理领域的前沿热点课题之一。高效异相催化体系的构建是高级氧化技术的主要研究方向,其核心在于高性能异相催化剂的设计。近...
10月10日,在蚌埠市怀远县龙亢农场,国家重点研发计划粮食丰产增效科技创新专项(简称粮丰专项)项目组会同农场专家、农技人员,对技术生物所承担的子课题“节本丰产增效周年优化施肥与多元养分协同关键技术”水稻示范区组织测产。龙亢...
近期,等离子体所低杂波课题组研究人员在提高高密度低杂波电流驱动能力研究方面取得重要进展,相关研究成果由丁伯江研究员和李妙辉博士等发表在聚变领域顶级期刊Nuclear Fusion上[Nucl. Fusion 58 (2018) 095003; Nucl. Fusion 58 (20...
近期,固体所纳米材料与纳米结构研究室费广涛研究员课题组与中国科学技术大学合肥微尺度物质科学国家研究中心张尧博士合作,在光电晶体管的光调控方面取得进展。研究发现,Ag/TiO2复合薄膜在外加两束光照射后,具有类似于三极管的特性...