重器巨帙, 融合开放。
董铺湖畔, 蜀山之侧, 以科学为名, 立创新高地。
博学之,审问之, 慎思之,明辨之, 笃行之。
与强者为伍, 与智者同行。 科学岛欢迎您!
海纳百川, 有容乃大。
组织是“形”,思想是“魂”。
传播科学知识, 弘扬科学精神。
及时公开, 准确公开, 合规公开。
固体所极端环境量子中心Alexander F. Goncharov研究团队与意大利国家光学研究所高压化学专家Federico Aiace Gorelli教授合作,成功合成了硒的新型氢化物。该氢化物是一种潜在的高温超导体,对超导电性的研究具有重要意义。这一研究成...
日前,等离子体所托卡马克物理研究室陈俊凌研究员课题组鄢容等人在EAST中发展ITER边界汤姆逊散射第一镜原位清洗技术取得了新突破,相关结果近期发表在聚变领域顶级期刊Nuclear Fusion上[Nucl. Fusion 58 (2018) 026008 (8pp)]。第一...
近来,通过机械剥离成薄层的过渡族金属硫化物,作为超越石墨烯的候选材料,已成为国际研究的热点,其中强自旋轨道耦合的二维晶体超导体,为人们探索新奇量子现象提供了一个广阔的平台,如拓扑超导态的探索等。有报道指出,在单层NbSe2...
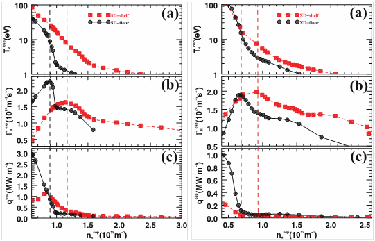
偏滤器是托卡马克装置的重要组成部分之一,有关偏滤器的设计、建造及运行也一直是核聚变研究领域中的核心问题之一,探索、设计并优化托卡马克先进偏滤器位型对于目前EAST下偏滤器的升级改造及正在推进的CFETR偏滤器设计有着重要意义。...
低温等离子体技术是一种高级氧化技术,可有效去除环境污染物,利用该技术进行污水处理成为当前研究热点之一。目前,低温等离子体在处理印染废水、医疗废水等方面显示出较好的应用前景。近年来,技术生物所黄青研究员课题组一直与企业...