重器巨帙, 融合开放。
董铺湖畔, 蜀山之侧, 以科学为名, 立创新高地。
博学之,审问之, 慎思之,明辨之, 笃行之。
与强者为伍, 与智者同行。 科学岛欢迎您!
海纳百川, 有容乃大。
组织是“形”,思想是“魂”。
传播科学知识, 弘扬科学精神。
及时公开, 准确公开, 合规公开。
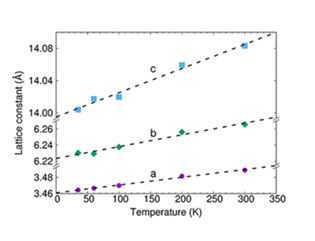
稳态强磁场实验装置(SHMFF)用户南京大学借助SHMFF变温X射线衍射仪(XRD)设备,对费米面经过精确调控的II类Weyl半金属WTe1.98中的各向异性Adler-Bell-Jackiw(ABJ)反常效应进行了深入研究并取得新进展。该研究成果以Experimental O...
近期,医学物理中心光谱质谱研究室沈成银副研究员等在有机物在线质谱检测技术研究中取得进展,发展的双极性质子转移反应质谱(DP-PTR-MS)新技术,通过正负离子协同检测,可提高有机物的鉴别能力。该研究工作以Detection of ketones b...
纳米TiO2是一种典型的n型半导体材料,由于其本征态表面缺乏与目标分子相互作用的活性位点以及较差的导电性,从而表现出较差的电化学活性。近期,在前期晶面电分析化学研究的基础上,智能所黄行九课题组通过在TiO2表面掺杂氧空穴,发现...
表面增强拉曼光谱(Surface-Enhanced Raman Spectroscopy, 简称SERS)技术由于高检测灵敏度、无损检测、具有抗荧光干扰和抗水干扰等特性,在细胞成像和生物传感等领域广泛应用。双氢青蒿素(DHA)是一种抗疟疾药物,同时具有抑制癌细...
近期,医学物理中心光谱质谱研究室沈成银副研究员等在水中挥发性有机物(VOCs)实时在线监测技术研究中取得进展:发展的喷雾进样―质子转移反应质谱(SI-PTR-MS)技术方法,可实现水中六类VOCs的快速/高灵敏在线检测。该研究工作以Rap...