重器巨帙, 融合开放。
董铺湖畔, 蜀山之侧, 以科学为名, 立创新高地。
博学之,审问之, 慎思之,明辨之, 笃行之。
与强者为伍, 与智者同行。 科学岛欢迎您!
海纳百川, 有容乃大。
组织是“形”,思想是“魂”。
传播科学知识, 弘扬科学精神。
及时公开, 准确公开, 合规公开。
近期,中国科学院合肥物质院固体所功能材料物理与器件研究部与强磁场科学中心等研究团队合作,在拓扑声子材料β-MoB2的光谱研究方面取得了新进展,相关结果发表在美国物理学会期刊Physical Review Research上。具有B六元环结构的金...
近期,中国科学院合肥物质院固体所纳米材料与器件技术研究部热控功能材料研究团队与马萨诸塞大学阿默斯特分校吴年强教授团队合作,成功合成了三种不同晶相的具有高强拉曼信号增强性能的硼化钼陶瓷粉体,相关成果发表在国际期刊Small上...
近期,中国科学院合肥物质院智能所黄青研究员课题组在研发适配体-表面增强拉曼光谱(Aptamer-SERS)技术用于免疫检查点分子(Immune Checkpoint Molecules)检测方面取得重要进展,研究成果发表在国际著名期刊Analytical Chemistry上...
近日,中国科学院合肥物质院安光所计算机视觉团队在全景场景图生成研究方面取得新进展,提出了一种基于CLIP知识转移和关系上下文挖掘的全景场景图生成方法,相关研究成果已被信号处理领域的顶级国际会议IEEE International Conference...
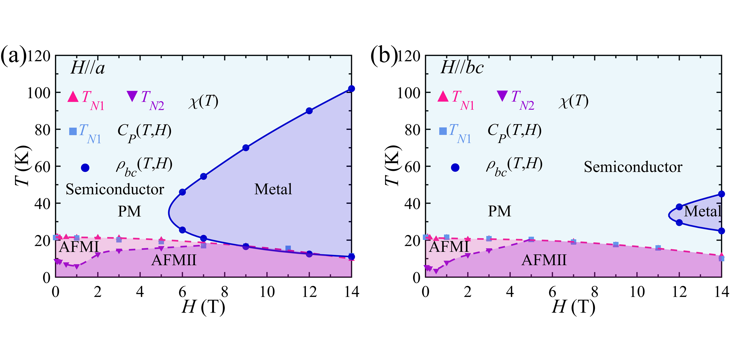
近日,中国科学院合肥物质院强磁场中心韩玉岩副研究员与安徽大学合作,依托稳态强磁场实验装置(SHMFF)的多功能物性测试系统,在EuMnSb2单晶的物性研究方面取得了新进展。这一成果已于2024年04月11日在国际著名学术出版社Elsevier发...