近期,中科院合肥研究院等离子体所与中国科大核学院联合培养的博士生石生宇在集成模拟EAST芯部重杂质的输运及其对等离子体性能影响的研究中取得重要进展。相关一系列成果近期发表在Nuclear Fusion 期刊上。
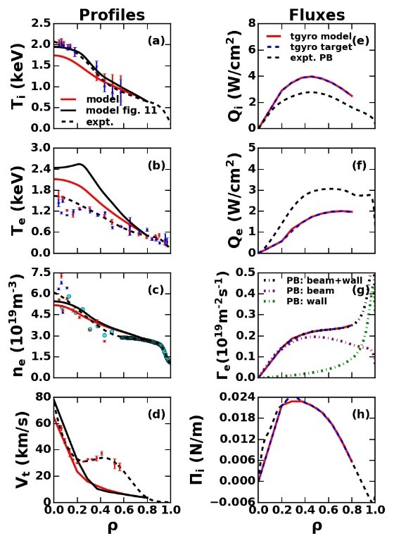
带有内部输运垒的高性能H-mode放电具有很多优良特性,使其成为未来托卡马克聚变堆可选择的运行模式之一。而内部输运垒的产生机制因取决于许多因素导致较为复杂。在EAST混杂运行模式实验中(X. Gao et al 2020 Nucl. Fusion 60 102001),已经实现了在温度和密度通道中同时形成的内部输运垒,然而形成这种多通道的内部输运垒的物理机制还没有被完全理解,而多通道集成预测模拟则有助于更好地理解形成内部输运垒的关键物理。此前,科研人员在多通道集成预测模拟带有温度、密度和环向旋转三个通道的内部输运垒的放电中取得新的研究进展,相关成果发表在Nuclear Fusion期刊上(Shengyu Shi et al 2021 Nucl. Fusion 61 126055)。
重金属材料,如钼和钨,由于具有低溅射率、低氚滞留率和高熔点等优良性能,可用作热核聚变反应装置的面向等离子体元件。然而,由于在热核聚变反应温度下,非完全电离的钨和其他重/高电荷(Z)杂质粒子的线辐射率很大,它们在等离子体芯部的累积可能会显著冷却等离子体,恶化等离子体性能,导致高约束模式(H-mode)向低约束模式(L-mode)转变,甚至进一步崩塌。因此,在热核聚变等离子体中,理解芯部重/高Z杂质的输运、研究它们对等离子体性能的影响以及控制它们在等离子芯部的积累对于聚变装置稳定运行是非常重要的。为了确定EAST高约束模式中等离子体芯部重杂质钨的输运的主要机理,研究团队首次系统地分析并模拟了带有类似ITER偏滤器位形的EAST混合运行模式(hybrid mode scenario)和完全非感应运行模式(fully non-inductive mode scenario)的芯部钨输运的行为。在EAST混合运行模式放电中,经常观察到钨的累积,同时结合背景等离子体参数的演化,发现当背景等离子体芯部的环向旋转速度和密度峰值较大时,特别容易发生钨的积累。通过新经典输运程序NEO和湍流输运程序TGLF模拟钨芯部输运再现了实验观测的结果,并确定了背景等离子体的高密度峰值和大的中心区域的环形旋转速度导致的钨的新经典向内对流速度是钨积累的主要原因之一。
此外,研究团队还分析了芯部重杂质对EAST等离子性能的影响,发现当重杂质在EAST芯部积累到一定程度时,可能会引起撕裂模,导致等离子体进一步的崩塌。然而,在EAST完全非感应运行模式放电中,钨通常可以得到很好的控制。通过分析背景等离子体参数和模拟钨的输运,发现与混合运行模式相反,在这种完全非感应运行模式条件下,电子的温度以及其峰值通常较高,而背景等离子体的环向旋转和密度峰值较小。模拟的钨湍流扩散系数足够大,足以抵消总的湍流和新经典对流速度,因此零粒子通量的钨径向密度分布不会达到很高的峰值。研究团队还提供了两种方法来控制EAST芯部钨积累,即通过使用反向中性束注入来减小环向旋转速度以及在轴的电子回旋共振加热来提高电子温度,并分析了这两种方法在EAST上控制重杂质钨积累的物理机制。上述工作验证了之前CFETR杂质输运模型的可靠性,对于将来ITER的输运研究以及重杂质控制有重要的参考意义。
该成果是中科院合肥研究院等离子体所、中国科大以及国际同行长期广泛开展合作交流的研究成果,合作者包括法国原子能委员会聚变研究所Clarisse Bourdelle博士、美国通用原子能公司Vincent S. Chan教授和Tomá? Odstr?il博士、加州大学圣地亚哥分校简翔博士、等离子体所陈佳乐副研究员、张凌研究员等人。该研究受到国家重点研发计划、国家自然科学基金以及国家磁约束核聚变能发展研究专项等项目的资助。
