天气预报: 合肥研究院主页English旧版主页联系我们
科学岛新闻网
科学岛团队在辐照缺陷影响热离子发电器件石墨烯电极功函数研究方面取得新进展
文章来源: 赵明 发布时间: 2022-11-15

  近期,中科院合肥研究院核能安全所在辐照缺陷影响热离子发电器件石墨烯电极功函数研究方面取得新进展,研究成果发表在国际材料薄膜领域期刊 Applied Surface Science 上。 

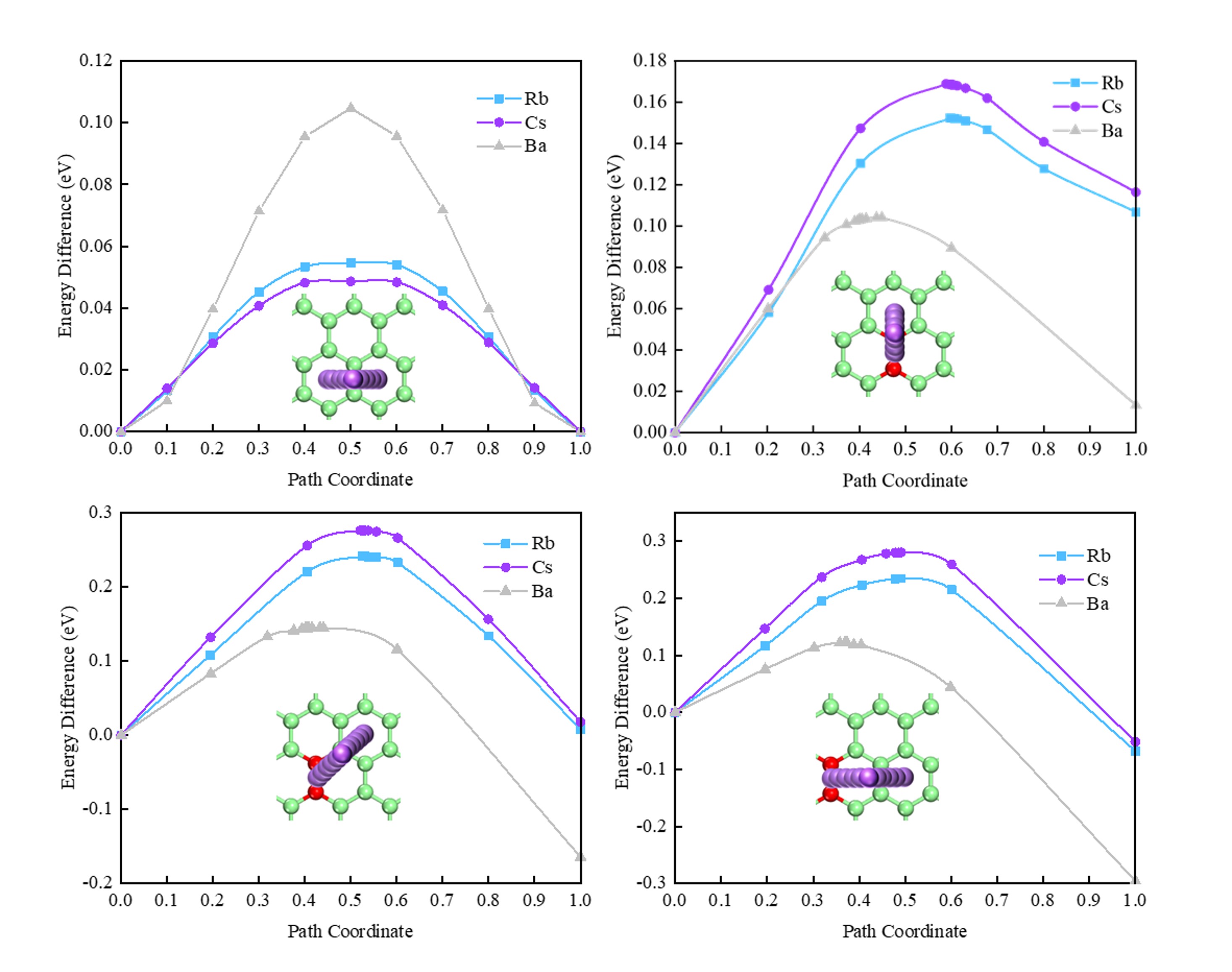
  石墨烯作为微型堆热离子发电器件电极涂层材料具有巨大的应用潜力,能够显著提升电极表面的电子发射能力。热离子发电器件在服役过程中,电极材料将面临高能粒子的辐照作用,早期的理论计算和实验研究表明,在石墨烯内部辐照诱导的缺陷类型主要是Stone-Wales缺陷、掺杂缺陷和碳空位等。缺陷的产生将会影响电极间隙内碱金属和碱土金属在石墨烯表面的吸附性质,进而改变石墨烯涂层的电子发射性能(功函数)。 

  针对上述问题,科研人员通过第一性原理计算方法在原子尺度上研究了缺陷石墨烯表面碱金属和碱土金属的吸附和迁移行为。研究结果表明:(1)石墨烯表面缺陷位点作为陷阱对金属原子具有捕获作用,Stone-Wales缺陷和碳空位缺陷附近的金属原子扩散受到了严重的阻碍,在掺杂BO的石墨烯表面,金属原子迁移势垒也有不同程度的升高;(2Stone-Wales缺陷、碳空位缺陷及掺杂石墨烯的表面功函数均显著增加,电子发射能力明显降低,这主要归因于电偶极子形成概率的降低以及金属内聚能的增加。本研究工作为石墨烯涂层材料在反应堆热离子发电器件中的应用提供了理论指导。 

  上述研究工作理论计算部分在合肥先进计算中心完成。 

  文章链接:https://doi.org/10.1016/j.apsusc.2022.155505 

 

  1 热离子能量转换示意图 

 

  2 碱金属和碱土金属在原始和含氧缺陷石墨烯表面的迁移行为 

   
  • 科学岛报
  • 科学岛报
  • 科学岛报