具有氮氮单键或氮氮双键的聚合氮和含氮化合物作为高能密度材料具有广阔的应用前景,其中高压合成是获得该类材料的有效方法。理论预测的多种可以在常压下稳定的纯氮聚合氮,部分已被成功地在高压下合成。cg-N是纯氮聚合氮中最典型的一种,具有最小的合成压力,且0 GPa下的声子谱中没有虚率。然而,高压下合成的cg-N会随着压力的降低逐渐分解,同样的现象也出现在其它纯氮聚合氮材料中。目前高压下合成的纯氮聚合材料均不能被截获至常压环境,这阻碍了它们作为高能密度材料的应用。因此,研究低压下cg-N的分解机理并寻找其常压环境下稳定的方法具有重要意义。
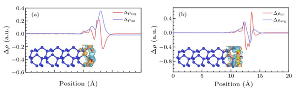
鉴于此,研究人员首先探究了cg-N失稳的原因,发现常压下cg-N低指数表面在300 K温度时发生了结构坍塌,说明表面失稳将导致其在低压下分解。进一步研究表明,常压下氢吸附能够将cg-N的表面稳定到750 K以上(图1),但羟基吸附不能增加表面的稳定性。这是由于氢不但饱和了悬挂键,而且向氮表面转移了电子,但羟基却从氮表面获得电子(图2)。该工作为截获高压合成的聚合氮提供了一种新思路,表明酸性环境和电负性弱的材料有利于提高cg-N和其它含氮聚合物的稳定性,对推动聚合氮的常压合成和实际应用具有重要意义,同时也为截获其它功能材料的高压相提供了有效指导。
固体所博士生陈果和牛草萍为论文的共同第一作者,王贤龙研究员为通讯作者,研究得到了合肥物质院院长基金等项目的资助。
全文链接:https://iopscience.iop.org/article/10.1088/0256-307X/40/8/086102

