天气预报: 合肥研究院主页English旧版主页联系我们
科学岛新闻网
EAST团队发现Grassy ELM高性能稳态运行模式形成机理
文章来源: 颜宁 发布时间: 2019-07-01

  近日,中科院合肥研究院等离子体所EAST超导托卡马克团队在前期成功探索、实现了杂草型小幅度边界局域模(Grassy ELM)运行的基础上,揭示了Grassy ELM产生的物理机制,进而利用这种自发的高频小幅度Grassy ELM,发展出了一种高性能稳态等离子体运行模式,并系统验证了其与未来聚变堆若干运行条件的兼容性。相关研究成果于6月26日在线发表在国际权威物理期刊Physical Review Letters上。

    在托卡马克核聚变实验装置中,高约束等离子体的边界区域会周期性地爆发出一种称为边界局域模(ELM)的不稳定性。大幅度ELM类似太阳耀斑爆发,造成等离子体能量和粒子的瞬间释放,喷射出强大的热脉冲,侵蚀装置的内壁,甚至导致材料的熔化,并产生大量杂质粒子污染聚变堆芯部等离子体,使得聚变堆难以长时间稳态运行。在未来聚变堆上,需要将ELM带来的瞬态热负荷降低至少20倍,这是国际磁约束聚变界,特别是国际热核聚变实验堆ITER面临的一个严峻挑战,探索无ELM或具有小幅度ELM的高约束运行模式及其物理机制是磁约束聚变研究的一个重大科学前沿问题。

  前期,研究团队成功实现了杂草型小幅度边界局域模(Grassy ELM)运行。Grassy ELM是一种特殊的自发高频小幅度边界局域模,它带来的瞬态热负荷通常低于常规大幅度边界局域模的1/20。具有Grassy ELM的高约束运行模式适用于聚变堆台基低碰撞率条件,并且其较高的边界安全因子降低了等离子体发生大破裂的风险,因此这种运行模式被国际聚变界认为在未来强磁场稳态聚变堆上具有很好的应用前景。类似Grassy ELM的运行模式在国际其它托卡马克上也曾被观察到过,但其机理和获得条件不清楚,在国际一些主流托卡马克上一直难以稳定地获得这种运行模式。在未来聚变堆上,能否稳定可靠地获得这种运行模式,是国际聚变界亟待回答的问题。

  EAST团队负责人万宝年研究员、课题组长徐国盛研究员带领科研人员针对Grassy ELM运行模式这一前沿课题组织了攻关,在与未来聚变堆类似的金属壁、低旋转、电子主导加热等物理条件下,稳定重复地实现了Grassy ELM高性能稳态运行,确认了获得这一模式的物理条件,并将这一模式的部分归一化参数扩展到了未来聚变堆的区间。在实验中发现较高的刮削层密度和较宽的边界台基是Grassy ELM运行模式形成的关键因素,首次揭示出台基分布演化过程中剥离气球模不稳定性边界的移动是Grassy ELM形成的内在动力学机制。研究人员还通过实验验证了它与辐射偏滤器、高密度、高自举电流份额、完全非感应驱动等未来稳态聚变堆特需条件的兼容性。此外,实验发现它对杂质具有很强的排出能力,特别适合实现高性能等离子体的长时间稳态运行。这一运行模式为解决聚变堆瞬态热负荷瓶颈问题,实现聚变堆的稳态运行提供了一种潜在的新方案。中国正在开展1GW聚变功率的中国聚变工程实验堆(简称CFETR)的集成工程设计,这种运行模式的等离子体部分归一化参数与CFETR的设计参数接近,可以应用于未来CFETR的稳态运行。

  EAST装置是我国自主设计建造的,世界上第一个非圆截面全超导托卡马克核聚变实验装置。自2010年获得高约束等离子体以来,EAST团队一直致力于为聚变堆的高约束稳态运行提供解决方案,在过去的9年时间里,EAST装置不断打破高约束等离子体运行时间的世界记录,率先在国际上突破百秒量级高约束稳态运行。

  EAST接下来的目标是在更高的注入功率下,在ITER基本运行模式的时间尺度上实现高约束等离子体稳态运行。高功率注入条件下的ELM瞬态热负荷问题成为阻碍这一科学目标实现的主要障碍,Grassy ELM高性能稳态运行模式的获得及其形成机理上的突破为EAST实现更高功率更长时间尺度上的运行提供了有效的解决方案,进而为ITER和CFETR高性能Grassy ELM稳态运行模式的发展奠定了物理基础。

  EAST团队取得的这一研究成果得益于等离子体所长期以来秉承的大科学团队精神以及与国内外开展的良好合作。相关研究工作得到了国家科技部、发改委、中科院、国家基金委等项目的资助,以及安徽省、合肥市、合肥综合性国家科学中心等相关部门的大力支持。

  相关文章链接:

  PRL 2019:https://journals.aps.org/prl/abstract/10.1103/PhysRevLett.122.255001 

  NF 2019:https://iopscience.iop.org/article/10.1088/1741-4326/ab0396 

  IAEA-FEC 2018:https://conferences.iaea.org/indico/event/151/contributions/5682/ 

  NF 2017:https://iopscience.iop.org/article/10.1088/1741-4326/aa7861 

   

  图1. EAST上伴随Grassy ELM的高性能稳态行模式的实验演示

   

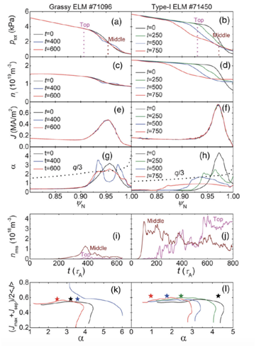
  图2. BOUT++程序非线性模拟对比研究了常规大幅度ELM与Grassy ELM的台基动力学特征,揭示出台基分布演化过程中剥离气球模不稳定性边界的移动是Grassy ELM形成的内在动力学机制。

  

   
  • 科学岛报
  • 科学岛报
  • 科学岛报