天气预报: 合肥研究院主页English旧版主页联系我们
科学岛新闻网
科学岛低功耗量子材料研究团队在关联电子体系演生现象研究中取得新进展
文章来源: 郝林 发布时间: 2022-07-27

  近日,中科院合肥研究院强磁场中心低功耗量子材料研究团队郝林研究员与美国田纳西大学Jian Liu教授等人合作,发现了铱氧化物超晶格中由电子关联和电子拓扑相互作用诱导出的巨大自旋能隙和非单调反常霍尔效应现象,为关联电子体系的晶体设计和演生现象研究提供新思路。相关研究成果发表在Physical Review X上。

  依据材料中电子-电子关联作用强度,量子材料大致被分为三类,即弱关联材料、强关联材料以及位于两者之间的中度关联材料。在弱关联材料中,电子做近独立的自由运动,晶体对称性多反映于材料的电输运性质,这一类材料包括绝大多数的拓扑材料,其电子态存在受拓扑保护的稳健性。在强关联材料中,电子具有强烈局域化特征,只能通过虚跃迁的方式往来于不同格点,由此产生一系列磁性绝缘体,晶体对称性的不同决定了其中丰富的磁性结构。与上述两种极限情况不同的是,目前尚没有合适的理论手段处理中度关联电子体系,而相关的实验工作则更少,在中度关联电子体系中关联与拓扑会有何相互作用,以及会带来何种演生现象是当前国际研究前沿。

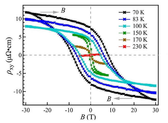
  针对这一问题,研究人员利用原子级精度外延制备技术合成了一批具有中度电子关联强度的铱氧化物人工超晶格[(SrIrO3)1/(CaTiO3)1],通过选择性破坏晶体对称性引入了非平庸的自旋依赖电子跃迁,由此带来的非平庸拓扑结构诱导出类似于弱关联极限下的反常霍尔效应(图a)。另一方面,电子关联作用使得体系具有稳定的反铁磁绝缘体基态,表明该体系同时具有弱关联和强关联特征。谱学测试结果表明该反铁磁体具有显著的单轴各向异性,但是自旋能隙远大于强关联极限下的线性自旋波近似,意味着中度关联电子体系中的自旋能隙受到电荷涨落效应的强烈调制。为进一步揭示反常霍尔效应的物理机制,研究人员依托稳态强磁场大科学装置,通过施加30T强磁场克服样品本身巨大的矫顽场,获得了反常霍尔效应在低温下完整磁场依赖关系(图b),证明此单带体系中霍尔电导随温度变化的非单调关系其本质是反铁磁序和载流子退局域化的自我竞争效应。

  强磁场中心郝林研究员和美国田纳西大学Jian Liu教授为本文的共同通讯作者。研究工作得到了国家自然科学基金和强磁场安徽省实验室方向基金的资助。高场霍尔效应测试在稳态强磁场实验装置(SHMFF)的水冷磁体上完成,本文共同作者王钊胜研究员提供技术支持。

  文章链接:https://journals.aps.org/prx/abstract/10.1103/PhysRevX.12.031015 

 

  (a)中度关联电子体系中反常霍尔效应示意图

 

  (b)不同温度下反常霍尔效应的磁场依赖关系

   
  • 科学岛报
  • 科学岛报
  • 科学岛报