近期,中科院合肥研究院固体物理研究所刘长松研究员课题组科研人员与中科院合肥研究院等离子体物理研究所、中科院近代物理研究所科研人员合作,围绕聚变堆面向等离子体材料和结构材料中氢、氦和嬗变原子的微观行为开展了理论模拟研究并取得了系列进展。该系列工作对从微观上理解材料中氢、氦和嬗变元素的行为并认识氢、氦泡和偏聚物的形成机制具有重要意义。相关研究成果以尤玉伟及其协助指导的博士生孙静静为第一作者发表在聚变领域权威期刊Nuclear Fusion (Nucl. Fusion 57 (2017) 016006; Nucl. Fusion 57 (2017) 086006; Nucl. Fusion 57 (2017) 066031) 杂志上。
聚变服役环境下,无论是面向等离子体材料钨还是结构材料碳化硅,都会受到高能中子的辐照。高能中子辐照不仅会使材料内产生大量的自间隙和空位点缺陷,而且会与材料作用发生嬗变反应,产生大量的氢和氦嬗变气体原子和嬗变金属元素(钨的嬗变元素主要包括钽、铼和锇等)。氢、氦和嬗变元素与材料中缺陷相互作用,可分别形成气泡和偏聚物,引起材料脆化、肿胀和硬化,从而导致材料的力学性能下降,并最终影响聚变堆的安全和稳定运行。因此,从微观上研究材料中氢、氦和嬗变元素的行为,了解氢、氦泡和偏聚物的形成机制至关重要。然而,氢、氦和嬗变元素与材料相互作用的微观机制至今尚不清楚。为此,固体所科研人员采用密度泛函理论、集团展开及分子动力学等方法,以聚变堆中面向等离子体材料钨和结构材料碳化硅为对象,系统研究了氢、氦和嬗变元素的微观行为以及它们对辐照缺陷演化的影响。
研究发现,氦倾向于在钨(110)层间形成密堆积的二维单层结构。而氦在钨中聚集降低其近邻格点的稳定性(如图1)。当聚集的氦原子数超过6个时,其近邻格点原子可自发发射而产生空位,进而空位作为捕获阱促进氦的聚集,引起格点原子的再次发射,以此级联并最终导致气泡的形成。该研究结果很好地解释了实验上发现的在低能氦离子辐照下钨中产生大量气泡的原因。该系列工作相继发表在Nuclear Fusion (Nucl. Fusion 57 (2017) 016006; Nucl. Fusion 54 (2014) 103007) 杂志上。而对于聚变堆中结构材料碳化硅,在高能中子辐照下产生的空位团簇会成为氢的捕获阱而导致氢聚集。在单空位和双空位团簇中都发现了氢分子的形成(如图2)。氢的聚集也会降低其近邻格点原子的稳定性,进而发生级联反应,最终产生气泡。该工作发表在Nuclear Fusion (Nucl. Fusion 57 (2017) 066031) 杂志上。
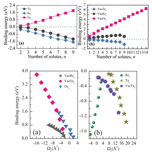
另外,理论模拟研究还发现,在高能中子辐照下钨中的嬗变金属元素则表现出更为复杂的偏聚行为;如:(1)在理想的钨块体中嬗变元素锇容易形成偏聚物,而钽、铼则需要在极高浓度下才可以形成偏聚物;(2)钨中的辐照缺陷可以促进铼和锇的偏聚,但钽在即使存在辐照缺陷条件下仍然无法偏聚(如图3);(3)在辐照缺陷处锇可促进铼偏聚物的形成,而钽则可抑制铼和锇偏聚物的形成。这些理论研究结果已被牛津大学Xu等人的实验工作所证实 (Xu et al., Acta Mater. 124 (2017) 71)。此外,科研人员通过理论模拟研究还证实:铼和锇在辐照空位处的偏聚反过来会降低空位的迁移速率,进而降低空位的密度并抑制空洞的形成。该研究结果很好地解释了在钨中添加铼可极大抑制空洞密度的微观原因。相关工作发表在Nuclear Fusion (Nucl. Fusion57 (2017) 086006) 杂志上。
上述研究工作得到国家磁约束核聚变能发展研究专项、国家自然科学基金等项目和中国科学院的资助。
文章链接:
http://iopscience.iop.org/article/10.1088/0029-5515/57/1/016006/meta
http://iopscience.iop.org/article/10.1088/1741-4326/aa70b2/meta
http://iopscience.iop.org/article/10.1088/1741-4326/aa6b82/meta

图1. 捕获氢氦的辐照空位近邻格点稳定性研究。

图2. 碳化硅中空位团簇中氢分子形成研究。

图3. 钨中钽、铼和锇偏聚物形成研究。
