近期,中科院合肥研究院固体所计算物理与量子材料研究部郑小宏研究员课题组在基于二维铁电材料的铁电隧道结研究方面取得新进展,通过密度泛函理论和非平衡格林函数计算发现,在金属Au(010)与二维铁电材料In2Se3接触的体系中,铁电材料的铁电性仍然存在,且由其构建的铁电隧道结达到约104%的巨电致电阻比率。相关研究结果以“Giant tunnel electroresistance in ferroelectric tunnel junctions with metal contacts to two-dimensional ferroelectric materials”为题目发表在Physical Review B 上。
二维(2D)铁电材料及由其构建的铁电隧道结在非易失性存储器件中具有的巨大应用,因而引起了人们的广泛关注。只有原子层厚度的纯二维铁电隧道结已经被证明具有非常高的隧穿电致电阻比率。为了更好地与目前的半导体技术相结合,在采用2D铁电材料构建铁电隧道结时,考虑其与金属电极的接触情况非常重要。然而,由于传统金属与2D铁电材料之间的相互作用复杂,目前尚不清楚当2D铁电材料与金属接触时,其铁电性是否仍然存在,相应的铁电隧道结是否按照存储器件的要求表现出高的隧穿电致电阻效应。
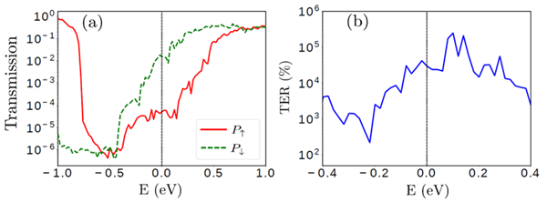
为了研究这些问题,郑小宏研究员课题组采用顶部接触的Au(010)和垂直面外极化的2D铁电材料In2Se3构建了金属与二维材料接触的铁电隧道结。通过密度泛函理论和非平衡格林函数计算发现,与金属接触的铁电材料的铁电性仍然存在,而且由其构建的铁电隧道结的隧穿电致电阻比率高达104%。这是由于随着铁电极化的反转,金属与2D铁电材料之间的界面由肖特基型接触向欧姆型接触转变。此外,研究发现Au(010)与In2Se3之间的隧道势垒高度为零,说明接触电阻低,具有良好的金属向半导体注入电子的能力。该研究表明,通过选择适当的金属材料,可以基于2D铁电材料和金属接触构建具有良好性能的铁电隧道结。
该项工作得到了国家自然科学基金的支持,所有计算均在中科院超算中心合肥分中心完成。
全文链接:https://journals.aps.org/prb/abstract/10.1103/PhysRevB.103.125414
图1. 铁电隧道结的结构。虚线框区域为Au(010) /In2Se3接触电极,中间部分为In2Se3散射区;红色箭头表示电子从Au注入到In2Se3的过程,蓝色箭头表示电子从左电极进入散射区的过程。
图2. (a)两种极化状态情况下的透射函数;(b) 隧穿电致电阻比率随电子能量的变化。
