近期,中科院合肥研究院固体所纳米材料与器件技术研究部环境与能源纳米材料中心团队在电催化合成过氧化氢方面取得新进展,制备了负载在氮掺杂石墨碳上的Co单原子催化剂(Co-SAs/NC),实现高效电催化两电子氧还原合成过氧化氢。相关研究成果以“Cobalt single atom catalysts for efficient electrosynthesis of hydrogen peroxide”为题发表在期刊Inorganic Chemistry Frontiers上。
过氧化氢(H2O2)作为一种很有价值的化学物质,在造纸、纺织、废水处理和化学氧化等方面有着广泛的应用。目前,H2O2在工业上主要是通过蒽醌法进行大规模生产,将蒽醌分子依次进行氢化、氧化,然后萃取、蒸馏,最终得到高浓度的H2O2。这是一个多步骤、能源密集型的过程,并且所得到的高浓度H2O2在储存和运输过程中可能会引发安全问题。因此,近年来研究人员不断探索更加绿色、安全并且可以原位生成低浓度H2O2的策略。电催化两电子氧还原(2e- ORR)合成H2O2是一种很有前景的替代方法,但ORR过程的反应动力学非常缓慢,并且存在4e- ORR生成H2O的竞争反应,大大降低了H2O2的产率。因此,制备出高活性和选择性的催化剂材料是发展电催化合成H2O2的关键。
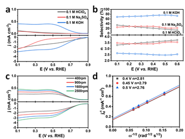
基于此,固体所研究人员通过配位调控策略构筑了氮配位的Co单原子电催化剂材料。将一定比例钴源、络合剂和含氮聚合物的混合物高温碳化处理,制备了氮配位的Co单原子催化剂(Co-SAs/NC)。该催化剂独特的单原子活性位点与表面丰富的含氧官能团展现出协同效应,有效提高了两电子氧还原产生过氧化氢的活性和选择性。在0.1 M KOH电解液中,起始电位为0.84 V,选择性达到76.0%。为了验证H2O2能够电解生成并且能在电解液中积累,研究人员将Co-SAs/NC负载在碳布上进行恒电位电解,可获得38.1±1.5 mmol gcat-1 h-1 (17318±682 mmol gCo-1 h-1)的H2O2产率以及72.1%±4.2%的法拉第效率。该研究工作有助于设计和发展两电子氧还原电催化剂。
该项工作得到了国家自然科学基金、中国博士后科学基金面上项目和合肥研究院院长基金青年“火花”项目的支持。
文章链接:https://doi.org/10.1039/D1QI00158B。
图1. Co-SAs/NC的合成示意图(a),TEM图(b),球差校正的HAADF-STEM图(c)和EDS能谱(d)。
图2. (a)不同氧饱和电解质中Co-SAs/NC在1600 rpm时的LSV曲线;(b)H2O2选择性和转移电子数(n);(c)在0.1 M KOH下,Co-SAs/NC在不同转速下的LSV曲线;(d)Koutecky-Levich (K-L)图及其对应的n值。
图3. (a)Co-SAs/NC的2 h稳定性测试;(b)不同电位下Co-SAs/NC反应2 h时的H2O2生成量及相应的法拉第效率(FE%);(c)Co-SAs/NC在0.5 V (vs. RHE)反应10 h时的I-t曲线。
