重器巨帙, 融合开放。
董铺湖畔, 蜀山之侧, 以科学为名, 立创新高地。
博学之,审问之, 慎思之,明辨之, 笃行之。
与强者为伍, 与智者同行。 科学岛欢迎您!
海纳百川, 有容乃大。
组织是“形”,思想是“魂”。
传播科学知识, 弘扬科学精神。
及时公开, 准确公开, 合规公开。
近日,中科院合肥研究院固体所功能材料物理与器件研究部朱雪斌研究员课题组在磁电化学沉积合成层状双氢氧化物(LDHs)方面取得新进展,相关研究成果发表在Small Methods上。LDHs因具有高氧化还原活性、丰富的化学成分及稳定的层状结...
近期,中科院合肥研究院固体所计算物理与量子材料研究部张永胜研究员课题组在调控半休氏勒合金(Half-Heusler,HH)热电材料导带简并研究方面取得新进展,通过分析带边的轨道特征为后续提升HH的热电性能提供了新思路。相关研究结...
1月21日,中科院合肥研究院等离子体所承担的“清华大学SUNIST-02球形托卡马克实主机工程设计与研制”项目完成出厂验收。在清华大学、等离子体所、合肥聚能电物理高技术公司、合肥科烨电物理设备制造和上海磁稳机械设备制造有限公司的...
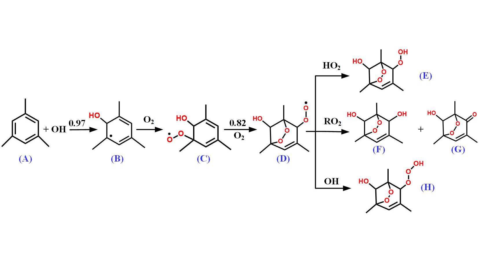
近期,中科院合肥研究院安光所谢品华研究员课题组在大城市OH和HO2自由基观测与模拟研究方面取得新进展,相关研究成果发表在国际学术期刊Science of the Total Environment 上。 自由基是大气二次污染生成的核心驱动力,基于目...
1月18日,由中科院合肥研究院等离子体所承担的中科院重点部署项目子课题“大功率高比冲电推进技术”现场验收会召开。现场验收由中科院微小卫星创新研究院组织,评审专家组由来自北京航空航天大学、中国科学技术大学与安徽大学的3位专...