重器巨帙, 融合开放。
董铺湖畔, 蜀山之侧, 以科学为名, 立创新高地。
博学之,审问之, 慎思之,明辨之, 笃行之。
与强者为伍, 与智者同行。 科学岛欢迎您!
海纳百川, 有容乃大。
组织是“形”,思想是“魂”。
传播科学知识, 弘扬科学精神。
及时公开, 准确公开, 合规公开。
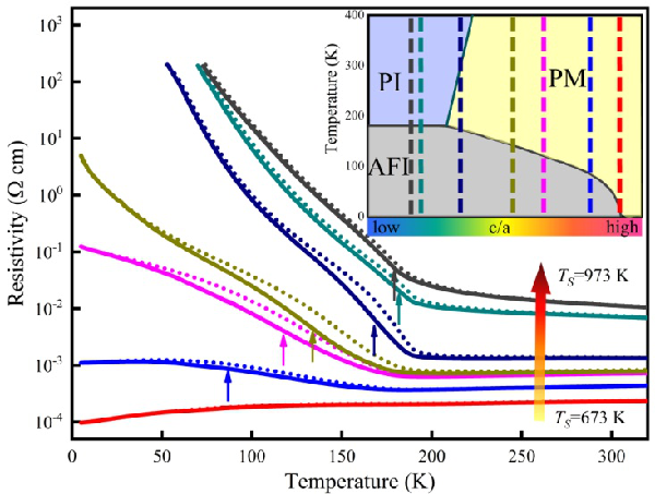
近期,中科院合肥研究院固体所功能材料与器件研究部朱雪斌研究员课题组在V2O3金属-绝缘体相变机理方面取得新进展,相关研究结果以“Unveiling the mechanisms of metal-insulator transitions in V2O3: The role of trigonal distorti...
近日,中科院合肥研究院健康所刘青松药学团队在慢性髓性白血病(CML)治疗方面取得了新进展,开发出能够克服伊马替尼多种耐药突变的新一代BCR-ABL激酶抑制剂CHMFL-48。目前该成果在线发表在国际期刊European Journal of Pharmacology...
近日,中国科学院合肥物质科学研究院核能安全技术研究所黄群英/姜志忠课题组在铅基堆材料腐蚀行为与机理研究方面取得新进展,研究成果发表于国际腐蚀领域知名期刊Corrosion Science。罗林为第一作者,姜志忠和肖尊奇为共同通讯作者。...
近期,中科院合肥研究院智能所离子束生物工程与绿色农业研究中心郑之明研究员课题组在维生素K2提升骨骼健康方面研究取得进展,发现一种维生素K2纳米颗粒可有效促进成骨细胞分化。相关研究成果以“A study of hydrophobins modified me...
近日,中科院合肥研究院安光所张志荣研究员课题组在全量程宽温本征安型气体传感微探头研发方面取得新进展,相关研究成果以《一种基于近红外光谱的紧凑型本征安全全量程甲烷微探头》为题发表于国际刊物Sensors and Actuators B: Chemic...