重器巨帙, 融合开放。
董铺湖畔, 蜀山之侧, 以科学为名, 立创新高地。
博学之,审问之, 慎思之,明辨之, 笃行之。
与强者为伍, 与智者同行。 科学岛欢迎您!
海纳百川, 有容乃大。
组织是“形”,思想是“魂”。
传播科学知识, 弘扬科学精神。
及时公开, 准确公开, 合规公开。
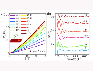
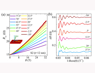
最近,强磁场科学中心田明亮研究员课题组在拓扑半金属研究中取得新进展。研究人员通过SHMFF水冷磁体33T强磁场下的电输运量子振荡测量,给出了层状化合物Nb3SiTe6为拓扑半金属的实验证据,相关研究结果在线发表在美国物理学会期刊P...
近日,强磁场中心刘静研究员课题组和刘青松研究员课题组合作发现了一种新型高活性的、选择性的PI3Kd激酶小分子抑制剂CHMFL-PI3KD-317。该研究成果在线发表于药物化学领域国际知名期刊European Journal of Medicinal Chemistry(do...
最近,中科院强磁场科学中心田明亮研究员课题组在拓扑半金属研究中取得新进展。研究人员通过SHMFF水冷磁体33T强磁场下的电输运量子振荡测量,给出了层状化合物Nb3SiTe6为拓扑半金属的实验证据,相关研究结果在线发表在美国物理学会期...
近日,强磁场中心研制出高效率三共振/双共振固体核磁共振魔角旋转(Magic Angle Spinning, MAS)探头,可实现在双共振/三共振模式或不同谐振频率间的切换,主要用于四极核材料、膜蛋白、以及锂电池/超级电容的固体NMR研究。固体核磁...
近期,固体所极端环境量子中心研究人员发现二硫化钼(MoS2)在高压下发生电荷密度波转变的迹象,这一发现将对理解MoS2在更高压下的超导电性具有指导意义。该研究成果于近日在《物理评论B》 (Physical Review B, 97, 214519 (2018))...