重器巨帙, 融合开放。
董铺湖畔, 蜀山之侧, 以科学为名, 立创新高地。
博学之,审问之, 慎思之,明辨之, 笃行之。
与强者为伍, 与智者同行。 科学岛欢迎您!
海纳百川, 有容乃大。
组织是“形”,思想是“魂”。
传播科学知识, 弘扬科学精神。
及时公开, 准确公开, 合规公开。
7月30日,等离子体所承担的中科院先导专项ADS子课题“500W/4.5K氦制冷机研制”项目专家评审与测试会召开。现场测试结果显示:500W/4.5K氦制冷机的液化率为165L/h,连续运行超过72小时。专家组一致认定500W/4.5K氦制冷机达到设计指标,...
近期,安光所大气光学中心魏合理研究员课题组对全球中间层顶温度对太阳活动响应方面进行了系统地研究,研究获得了全球范围中间层顶温度对太阳活动的响应系数及其随纬度和经度的分布规律,验证了中间层顶区域的温度结构和能量的动态平...
目前全球面临能源危机和环境污染的严峻挑战,发展高效、清洁的可再生能源技术已成为各国政府的重要目标,利用太阳能来光催化分解水制氢有望成为解决能源危机的有效途径之一。近日,应用技术研究所田兴友研究员领导的课题组与中国...
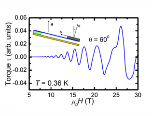
强磁场中心张昌锦课题组利用稳态强磁场实验装置的五号水冷磁体,在30特斯拉磁场强度和0.36K极低温条件下进行了精密的数据测量,对近期发现的潜在的拓扑超导材料PdTe2的电子结构进行了研究,得到了完美的强磁场振荡信号。该工作从磁性...
安光所激光技术中心方晓东研究员课题组在量子点敏化太阳能电池(QDSCs)研究方面取得进展,相关研究结果以“A new probe into thin copper sulfide counter electrode with thickness below 100 nm for quantum dot-sensitized solar ...