重器巨帙, 融合开放。
董铺湖畔, 蜀山之侧, 以科学为名, 立创新高地。
博学之,审问之, 慎思之,明辨之, 笃行之。
与强者为伍, 与智者同行。 科学岛欢迎您!
海纳百川, 有容乃大。
组织是“形”,思想是“魂”。
传播科学知识, 弘扬科学精神。
及时公开, 准确公开, 合规公开。
近期,中国科学院合肥物质院核能安全所戈道川副研究员及项目组在备用冗余系统可靠性快速分析方法研究中取得新进展,研究成果在线发表在国际工程技术领域权威期刊《可靠性工程和系统安全》(Reliability Engineering and System Safety...
近日,中国科学院合肥物质院健康所采用顶空固相微萃取气相色谱质谱(HS-SPME-GC-MS)非靶向分析方法,检测大鼠器官挥发性有机物(VOCs),获得了相关器官代谢VOCs生物信息。研究结果被遴选为正封面文章发表在分析领域TOP期刊An...
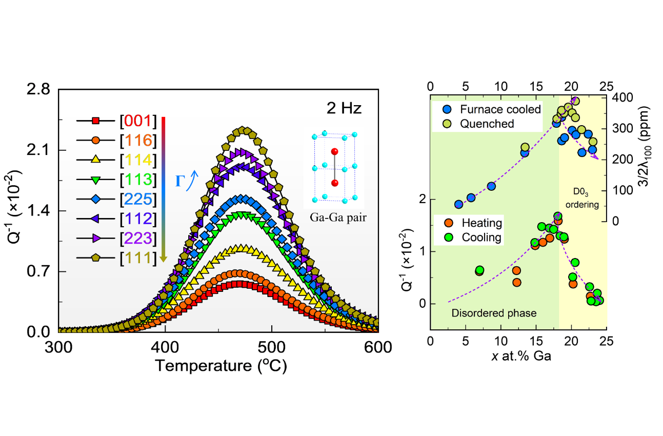
近期,中国科学院合肥物质院固体所在体心立方 (BCC) FeGa单晶 Zener弛豫研究方面取得新进展。相关成果发表在金属材料顶级期刊 Acta Materialia 上。FeGa合金由于具有驱动磁场低、磁致伸缩系数高、阻尼温域宽、微振动响应敏感...
近日,中国科学院合肥物质院强磁场中心王辉研究员课题组与林文楚研究员课题组以及美国华盛顿大学Miqin Zhang教授合作,依托稳态强磁场实验装置(SHMFF),构建出一种具有双重催化活性的光响应性碳封装磁铁矿纳米甜甜圈(CEMNDs)纳米...
近日,中国科学院合肥物质院安光所张为俊研究员团队在大气甲醛探测方面取得新进展,相关成果以“基于紧凑型球面镜光学多通池的便携式高灵敏激光吸收光谱甲醛传感器”为题发表在国际TOP期刊Sensors and Actuators: B. Chemical上。...