重器巨帙, 融合开放。
董铺湖畔, 蜀山之侧, 以科学为名, 立创新高地。
博学之,审问之, 慎思之,明辨之, 笃行之。
与强者为伍, 与智者同行。 科学岛欢迎您!
海纳百川, 有容乃大。
组织是“形”,思想是“魂”。
传播科学知识, 弘扬科学精神。
及时公开, 准确公开, 合规公开。
近期,中国科学院合肥物质院固体所黄行九研究员团队针对离子传感界面结构适应性进行了研究,开发了一种高稳定性自适应一体式界面。相关研究成果作为内封面文章发表在国际期刊Advanced Materials上。全固态离子选择电极作为智能生物和...
为推动深入贯彻中央八项规定精神学习教育走深走实,坚持问题导向,一体推进学查改,科学谋划“十五五”时期合肥物质院改革创新发展工作,5月26日至30日,由合肥物质院院长刘建国、党委书记周传忠带队深入各科研单元开展集中调研督导。...
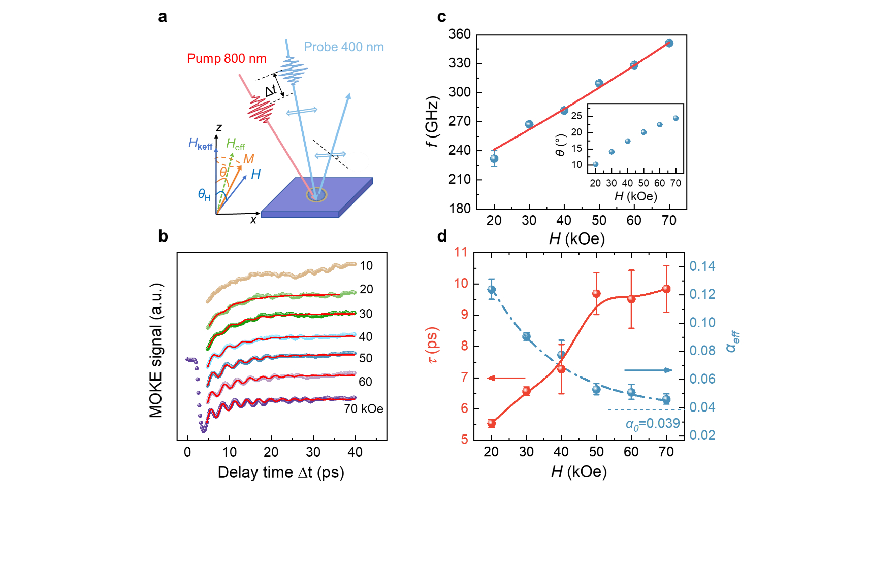
近日,中国科学院合肥物质院强磁场中心盛志高研究员与荷兰Radboud大学A.V. kimel教授等团队合作,依托稳态强磁场实验装置(SHMFF),在2D vdW铁磁体Fe3GeTe2中,借助强磁场下的时间分辨磁光克尔技术,实现了强磁场对激光诱导超快退磁...
5月21日至23日,中国科学院党的建设研究会第二片区交流研讨会在科学岛召开。武汉分院、成都分院、西安分院、京区协作二片区以及合肥物质院各单位分党组(党委)书记、副书记,纪委书记,党建工作部门负责人、党务干部及部分论文作者等...
为持续深化中央八项规定精神学习教育,进一步加强党员干部作风建设,5月21日,合肥物质院召开深入贯彻中央八项规定精神学习教育专题培训会。会议由院长刘建国主持,院领导班子成员、科研单元党政主要负责人、职能处室负责人、直属机构...